hans

hans

Machine Learning

【Machine Learning】【Python】选择最优参数(Decision Tree, Random Forest, Adaboost, GBDT)
github 地址: https://github.com/HansRen1024/Image-Pre-Classification/tree/master 之前训练 SVM 用了 PSO 太慢了。 这次比较幸运看到一篇关于调参的博客。 给了很大启发。 地址: http:…
【Machine Learning】【Python】提取直方图特征做图片预分类(Decision Tree, Random Forest, Adaboost)
github 地址: https://github.com/HansRen1024/Image-Pre-Classification 想法是在卷积神经网络分类图片之前先进行一次预分类,二分类就好,判断当前图片是否包含我要分类的物品。 因为只要你丢一张图片进卷积神经网络…
【Machine Learning】【Python】六、Edge Boxes + SVM + NMS for Localization ---- 《SVM物体分类和定位检测》
总觉得 SW 效果不好,就尝试用了下 EdgeBoxes,速度提升一点点,不明显,平均 1.1 帧吧。但是框出物体的稳定程度和框正物体的准确率高很多,误检测相对也少了。 ** 最新代码地址 GitHub: ** https://github.com/HansRen1024…
【Machine Learning】【Python】五、Sliding Window + SVM + NMS for Localization ---- 《SVM物体分类和定位检测》
建议用后面 EdgeBoxes 做边框预测,比 SW 快一点准一点。如果大家感兴趣,也建议用 faster rcnn SPN 层中的 anchor 技术。 《 SVM 物体分类和定位检测》这一系列博文结束了。 总结一下我用着最好的方法流程吧。 先 HoG 提取特征…
【Machine Learning】【Python】四、Hard Negative Mining优化训练SVM模型 ---- 《SVM物体分类和定位检测》
** 最新代码 Github 地址: ** https://github.com/HansRen1024/SVM-classification-localization 通过 PSO 优化参数,训练好的模型准确率提升了 4% 左右。还不满足预期目标。所以又尝试通过…
【Machine Learning】【Python】三、PSO + PCA优化SVM参数C和gamma ---- 《SVM物体分类和定位检测》
---------------------【6.27 更新 libsvm 使用方法】------------------------------------------------------------------- 先去 github 下载解压到随便哪个目录中: http…
【Machine Learning】【Python】二、HoG + PCA + SVM 物体分类 ---- 《SVM物体分类和定位检测》
** 最新代码 Github 地址: ** https://github.com/HansRen1024/SVM-classification-localization 当初想当然的以为通过 PCA 降维并提取排名考前的特征可以提高分类效果,结果是我错了…
【Machine Learning】【Python】一、HoG + SVM 物体分类 ---- 《SVM物体分类和定位检测》
----------【2018.09.07 更新】--- 如果你看到了这篇文章,并且从 github 下载了代码想走一遍整个流程。我强烈建议你把《SVM 物体分类和定位检测》这一系列的 6 篇文章都仔细看一遍。内容不多,但会对你理解算法和代码有很大的帮助。 ----------…
cover
cover
cover
cover
cover
cover
cover
cover
cover
cover
cover
cover
cover
cover
cover
cover
cover
cover
cover
cover

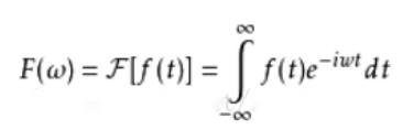
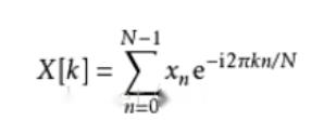
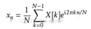
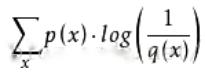
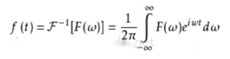
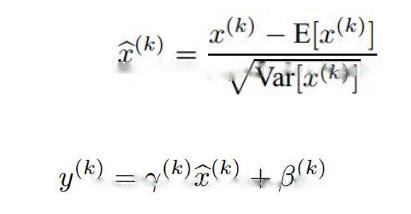
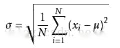
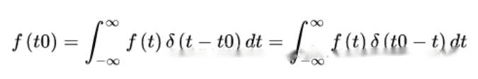
【Machine Learning】【Math】常用定义备忘录(线性代数、概率论、统计学)

不断学习大量新知识,有些内容掌握的快,遗忘的也快。所以弄个备忘录,方便快速查看。 【2017.6.14 开始记录】----------------------------------------------------------------------------------…
Ownership of this blog data is guaranteed by blockchain and smart contracts to the creator alone.